产品概述
▅ 产品概述
多孔平衡流量计是一种基于差压原理的高精度流量测量仪表,采用独特的多孔节流结构设计,每个孔的尺寸和分布基于独特的公式和数据定制。构造简洁、可靠性高,用较小的永久压损换来较大的稳定差压适用于气体、液体及蒸汽的流量测量,特别适合高流速、大流量、复杂工况下的精准计量。
▅ 工作原理
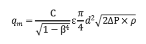
多孔平衡流量计是基于伯努利方程,通过测量节流件前后的压差计算流量:

式中:



▅ 产品特点
1、高精度测量:采用对称多孔整流设计,流体分布均匀,测量精度可达±0.5%~±1.0%;
2、低压损节能:多孔结构大幅降低涡流形成,压损仅为传统孔板的30%,节约运行能耗;
3、宽量程比:量程比可达10:1,适应流量波动大的工况,可双向测量;
4、强抗干扰性:内置整流结构,有效消除涡流、脉动影响,对直管段要求低(前5D后3D);
5、适用性强,耐用可靠:材质可选碳钢、不锈钢、哈氏合金等,耐高温高压(最高可达42MPa/600℃);
6、安装便捷:一体化或分体式设计,支持法兰、夹装等多种连接方式;
7、耐脏不宜堵:多孔对称的平衡设计,减少了紊流剪切力和涡流的形成,从而大大降低了死区的形成;
8、保证脏污介质顺利通过多个孔,减少了流体孔被堵塞的机会;
9、智能互联,远程监控:可选4-20mA、HART、RS485、无线传输,无缝对接DCS/PLC系统。
▅ 适用场景
油气行业、食品加工、纸浆造纸、电力能源、化学工业、船用设备
性能指标
| 型号 | NFCY-PH |
| 测量介质 | 气体、液体、蒸汽 |
| 流量范围 | 取决于公称直径 |
| 精度 | ±0.5%、±1.0%、±1.5% |
| 重复性 | ±0.2% |
| 量程比 | 10:1~30:1 |
| β值 | 0.25~0.90可选 |
| 雷诺数 | 200~10000000 |
| 工作温度 | -196℃~+600℃ |
| 工作压力 | ≤42MPa |
| 通信方式 | 4-20mA+HART、RS485 |
| 过程连接 | 法兰、螺纹、焊接 |
| 防护等级 | IP66 |
| 防爆等级 | Ex db IIC T6 Gb |
| 接液材质 | 碳钢、不锈钢、铬钼钢、双相钢、哈氏合金、蒙乃尔合金、钛材(特殊材质可定制) |
